SOAL PERSAMAAN DAN PERTIDAKSAMAAN RASIONAL DAN IRASIONAL
Nama : Salsabila Hesa Khalilah (25)
Kelas : X MIPA 1
Persamaan dan Pertidaksamaan Rasional
Contoh soal persamaan rasional
Contoh soal 1
Tentukan nilai x yang memenuhi persamaan rasional
Penyelesaian soal
Untuk menjawab soal ini kita gunakan metode pindah ruas dan kali silang. Ketika memindahkan angka atau variabel dari satu ruas ke ruas lainnya kita ganda negatif menjadi positif atau sebaliknya. Jadi jawaban soal diatas sebagai berikut:
Contoh soal 2
Tentukan nilai x yang memenuhi persamaan rasional dibawah ini

Penyelesaian soal
- Cara menjawab soal 1 sebagai berikut :
- Cara menjawab soal 2 sebagai berikut :
Contoh soal 3
Tentukan nilai x yang memenuhi persamaan rasional berikut
Penyelesaian soal
Cara menjawab soal nomor 3 kita jumlahkan ruas kiri sehingga diperoleh:
Contoh soal pertidaksamaan rasional
Contoh soal 1
Tentukan himpunan penyelesaian dari pertidaksamaan rasional dari
Untuk menjawab soal ini tentukan terlebih dahulu syarat pertidaksamaan yaitu x – 1 ≠ 0 atau x ≠ 1.
Selanjutnya kita buat pembuat nol sehingga diperoleh hasil sebagai berikut:
- x – 4 = 0 maka x = 4
- x – 1 = 0 maka x = 1
Kemudian kita buat garis bilangan sebagai berikut:
Untuk menentukan tanda + atau – pada garis bilangan diatas kita ambil satu angka yang lebih kecil dari 1 (misalkan 0). Angka 0 kita subtitusi ke (x – 4)/(x – 1) maka didapat (0 – 4)/(0 – 1) = + 4. Jadi tanda garis bilangan di sebelah kiri 1 adalah + lalu kita buat selang seling untuk tanda garis bilangan selanjutnya.
Karena notasi pertidaksamaan lebih dari sama dengan maka himpunan penyelesaian (x – 4)/(x – 1) terletak pada garis bilangan bertanda + atau pada interval x < 1 atau x ≥ 4.
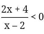
Contoh soal 2
Tentukan himpunan penyelesaian dari pertidaksamaan rasional
Penyelesaian soal
Syarat pertidaksamaan soal nomor 2 adalah x – 2 ≠ 0 atau x ≠ 2. Kemudian kita buat pembuat nol sehingga diperoleh:
• 2x + 4 = 0 maka x = -2
• x – 2 = 0 maka x = 2
Karena notasi pertidaksamaan soal ini adalah kurang dari maka interval himpunan penyelesaian berada di tanda negatif atau -2 < x < 2.
Contoh soal 3
Tentukan himpunan penyelesaian dari pertidaksamaan rasional
Penyelesaian soal
Pembilang pada soal diatas kita faktorkan sehingga bentuk soal menjadi:
Syarat yang berlaku pertidaksamaan diatas adalah adalah x + 1 ≠ 0 atau x ≠ -1.
Selanjutnya kita tentukan pembuat nol sebagai berikut:
- (x – 2) (x – 2) = 0 maka diperoleh x = 2.
- x + 1 = 0 maka x = – 1
Selanjutnya kita buat garis bilangan sebagai berikut:
- Untuk x > 2 kita ambil angka 3 lalu subtitusi ke x2 – 4x + 4/x + 1 maka diperoleh 32 – 4 . 3 + 4/3 + 1 = + 1/4. Jadi tanda garis bilangan setelah 2 adalah positif.
- Untuk interval -1 < x < 2 kita angka nol lalu subtitusi seperti poin diatas sehingga didapat 02 – 4 . 0 + 4/0 + 1) = + 4. Jadi tanda garis bilangan diantara – 1 hingga 2 adalah negatif.
- Untuk interval x < -1 kita ambil angka -2 lalu subtitusi seperti 2 poin diatas maka hasilnya – 8. Jadi tanda garis bilangan sebelum -1 adalah negatif. Jika digambarkan seperti dibawah ini.

PERSAMAAN DAN PERTIDAKSAMAAN IRASIONAL
Berikut ini beberapa bentuk umum persamaan irasional dan cara menyelesaikannya
C. Menentukan Penyelesaian Pertidaksamaan Irasional
Langkah-langkah menyelesaikan pertidaksamaan irasional secara umum adalah sebagai berikut:
1. Syarat terdefinisi yaitu di bawah tanda akar ≥ 0.
Kuadratkan kedua ruas.
2. Tuliskan pada garis bilangan hasil pada langkah 1) dan 2), kemudian arsir daerah irisannya.
3. Tuliskan himpunan penyelesaian (HP) yaitu interval daerah irisan.
4. Tuliskan himpunan penyelesaian (HP) yaitu interval daerah irisan.
Berikut ini beberapa bentuk umum pertidaksamaan irasional dan cara menyelesaikannya.
3) Garis bilangan:
4) Himpunan penyelesaian (HP) = {x < - 38}
















Komentar
Posting Komentar